Кратко о заключении
Санкт-Петербург
Квартира
03.06.2021
14 дней
54 страницы
30 фото
После залива квартиры или апартаментов спор с застройщиком часто развивается по одному сценарию. Снаружи повреждения выглядят незначительными, поэтому другая сторона уверяет, что ничего критичного не произошло. Но главный вопрос в таких случаях обычно находится не на поверхности, а внутри конструкции: дошла ли вода до скрытых слоев и какие последствия это повлекло.
В этой статье я разберу пример строительной экспертизы после залива помещения в новостройке, где нужно было установить состояние конструкции пола, понять, пострадал ли утеплитель под стяжкой, и определить стоимость восстановительных работ.
С чем ко мне обратились после залива квартиры в новостройке
Поводом для обращения стала авария на общедомовой сети отопления в новостройке в Сестрорецке. В результате залива пострадало несколько помещений на этапе передачи от застройщика покупателям. Одним из них было нежилое помещение, подготовленное под чистовую отделку.
Так как помещение передавалось по договору участия в долевом строительстве, оценивать нужно было не только видимые последствия аварии, но и соответствие объекта требованиям статьи 7 Федерального закона № 214-ФЗ.
На первый взгляд ситуация не выглядела тяжелой. Чистовая отделка в помещении еще практически не была выполнена, поэтому заметных разрушений после протечки не наблюдалось. Но именно такие случаи и становятся самыми спорными. Застройщик ссылается на отсутствие явного ущерба, а собственник понимает, что вода могла попасть туда, где ее не видно без вскрытия и обследования.
Позиция застройщика была ожидаемой: последствия залива, по его мнению, должны были со временем высохнуть сами, а оснований для компенсации расходов на ремонт пола не имелось. Чтобы не спорить на уровне предположений, заказчик обратился за строительно-технической экспертизой.
Что нужно зафиксировать сразу после аварии, чтобы потом не спорить только словами, я разбираю в статье «Залив квартиры: что делать сразу. Пошаговый план действий».
Передо мной поставили три вопроса:
- Был ли поврежден утеплитель, находящийся в конструкции пола, в результате залива?
- Требуется ли замена утеплителя в конструкции пола, если в результате исследования будет установлено, что он был поврежден?
- Какова стоимость работ по восстановлению поврежденной в результате залива конструкции пола без учета чистового покрытия, если по результатам исследования будет установлено, что замена утеплителя требуется?
Такая постановка вопросов позволяла последовательно решить спорную ситуацию: сначала установить факт повреждения скрытого слоя пола, затем определить, можно ли сохранить конструкцию без замены утеплителя, и после этого рассчитать стоимость необходимых работ.
Какие документы я изучил перед экспертизой
До выезда на объект я изучил материалы, которые позволяли понять обстоятельства залива, характеристики помещения и предполагаемую конструкцию пола. Для исследования были представлены:
- копия акта приема-передачи нежилого помещения и исполнения обязательств по договору участия в долевом строительстве;
- копия плана нежилого помещения;
- копия сведений о конструкции пола;
- копия акта об аварийной ситуации;
- копия отчета о недостатках строительства.
Объектом исследования являлось нежилое помещение в здании в Сестрорецке. План помещения использовался как один из основных исходных материалов при обследовании, а площади и размеры затем уточнялись по натурным обмерам, выполненным уже на месте.
Как проходило обследование помещения после залива
В ходе обследования я выполнил визуальный осмотр помещения, натурные обмеры и фотофиксацию. Дополнительно проводились инструментальные измерения с использованием комплекта для визуально-измерительного контроля и влагомера.
Поскольку спор касался не поверхности пола, а его скрытой части, в рамках исследования был вскрыт участок стяжки. Только так можно было осмотреть конструкцию по слоям и проверить состояние утеплителя непосредственно в месте обследования.
Как был устроен пол в исследуемом помещении
Во время осмотра выяснилось, что пол в помещениях был в разной степени готовности. В ванной, санузле и прихожей отделочные работы по полу уже были завершены: здесь было уложено финишное покрытие из керамогранитной плитки по цементно-песчаной стяжке. В коридоре, кухне-гостиной и комнате чистового покрытия еще не было, хотя сама стяжка уже была выполнена.
Также удалось установить, как именно устроен пол в этом помещении. Стяжка была выполнена по плавающей схеме, то есть без жесткой связи со стенами. По периметру между стяжкой и стенами были предусмотрены изолирующие участки из теплозвукоизоляционного материала. Такая конструкция помогает снизить передачу шума, что для многоквартирного дома вполне типично.
Но для этого спора было важно другое. Плавающий пол не защищает внутренние слои конструкции от воды, если происходит протечка. Влага может уйти под стяжку и задержаться внутри, а по внешнему виду пола это не всегда сразу заметно.
Почему после залива сухая поверхность ещё не означает сухую конструкцию, подробно разобрано в статье «Скрытые повреждения после залива квартиры и почему их не видно сразу».
По осмотру, вскрытию участка пола и документам удалось установить состав пола без учета чистового покрытия. При оценке такой многослойной системы нужно учитывать СП 29.13330.2011 «Полы»: после увлажнения значение имеет не только стяжка, но и состояние скрытых слоёв. Сверху вниз состав был таким:
- цементно-песчаная стяжка толщиной 60 мм;
- полиэтиленовая пленка;
- минераловатный утеплитель Paroc SSB 1 толщиной 20 мм;
- полиэтиленовая пленка, выполняющая функцию пароизоляции;
- железобетонная плита перекрытия.
Именно эта схема имела решающее значение для дальнейших выводов. Утеплитель находился внутри замкнутой конструкции, между слоями пленки и под стяжкой. Поэтому по одному внешнему осмотру поверхности определить его состояние было невозможно.
Скрытые слои приходится проверять и в других видах протечек. В заключении экспертизы по протечке квартиры из-за дефектов кровли следы внутри помещения сопоставлялись с состоянием кровли и путём поступления воды в конструкцию.
Что показали вскрытие пола и замеры влажности утеплителя
Таким образом, по результатам вскрытия и контрольных измерений было установлено, что утеплитель в конструкции пола действительно намок после залива. Это был уже не риск возможного повреждения, а установленный факт.
Почему после залива утеплитель в полу нужно менять
После вскрытия и замеров нужно было ответить на следующий вопрос: можно ли оставить такой утеплитель в конструкции пола или его необходимо менять.
Здесь проблема заключалась не только в самом факте намокания. По результатам исследования влажность утеплителя составила от 24,2% до 50,8%. При такой влажности внутри строительной конструкции создаются условия, благоприятные для развития микроскопических грибов и других биоповреждений. То есть речь шла уже не просто о мокром материале, а о состоянии, которое может со временем привести к санитарным и техническим проблемам.
С точки зрения строительных и санитарных требований такая ситуация не может считаться нормальной. Повышенная влажность в скрытых слоях пола создает риск биопоражения и ухудшения состояния материалов. Поэтому вопрос стоял не в том, “подсохнет ли утеплитель когда-нибудь”, а в том, можно ли после такого залива считать конструкцию пола исправной и безопасной.
Отдельное значение имела и сама конструкция пола. Плиты утеплителя плотно прилегали друг к другу, вентиляционных зазоров не было, а сам утеплитель находился между двумя слоями полиэтиленовой пленки практически по всей площади помещения. В такой схеме влага не могла выйти естественным путем. Нормально просушить утеплитель без разборки конструкции пола было невозможно.
Поэтому в заключении был сделан вывод о полной замене утеплителя. Восстановление пола не ограничивалось заменой одного слоя: нужно было убрать последствия возможного биопоражения и защитить уже выполненную отделку стен и потолка на время работ.
Производство и приёмку таких изоляционных и отделочных работ следует соотносить с СП 71.13330.2017.
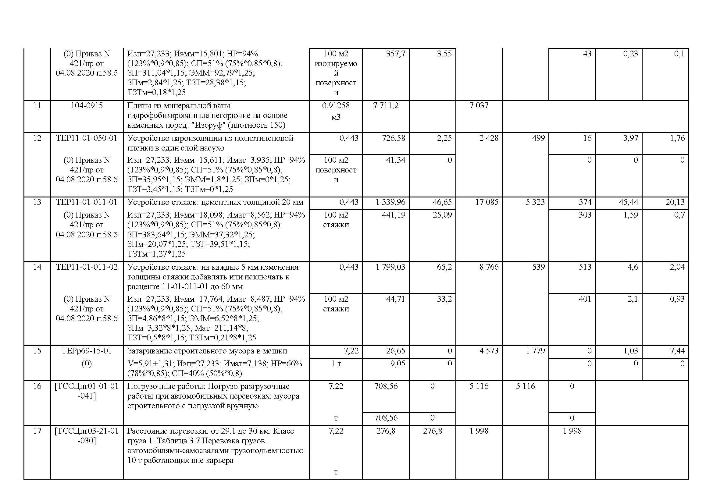
Как я рассчитывал стоимость восстановления пола после залива
Стоимость считалась не приблизительно, а от ведомости работ: сначала состав повреждённых слоёв, затем объёмы демонтажа и восстановления, затем сметный расчёт. Поэтому проверять нужно не только итоговую сумму, но и исходную ведомость, применённые расценки и порядок расчёта по Методике определения сметной стоимости по приказу Минстроя № 421/пр.
В спорах о выполненном ремонте расчёт решает другую задачу: там проверяют, что фактически сделано и сколько это стоит. Такой подход показан в заключении эксперта по стоимости выполненных работ по ремонту квартиры.
Расчет был составлен в территориальной сметно-нормативной базе «ГосЭталон 2012» в редакции 2016 года с пересчетом в текущие цены на май 2021 года. То есть в заключении была получена сметно обоснованная стоимость восстановительных работ, которую можно использовать в споре с застройщиком как расчетную величину ущерба.
По итогам расчета стоимость восстановления поврежденной в результате залива конструкции пола без учета чистового покрытия составила 141 137 рублей.
Если сметный расчёт используют как сумму восстановительного ремонта, его нужно привязывать к реальному ущербу. Для такой оценки применима статья 15 ГК РФ.
К каким выводам я пришел по итогам экспертизы
По результатам исследования было установлено, что после залива пострадала не только поверхность пола, но и его скрытая часть. Вскрытие участка стяжки и контрольные замеры показали, что утеплитель в конструкции пола намок и имеет повышенную влажность.
С учетом фактического состояния утеплителя и особенностей самой конструкции пола я пришел к выводу, что сохранить такой утеплитель без замены нельзя. Он находился внутри замкнутой системы слоев, между двумя полиэтиленовыми пленками, без вентиляционных зазоров, поэтому нормально просушить его без демонтажа конструкции пола было невозможно.
Для приведения пола в нормальное техническое состояние требовалась замена поврежденного утеплителя и выполнение восстановительных работ. По составленному локальному сметному расчету стоимость восстановления конструкции пола без учета чистового покрытия составила 141 137 рублей.
Таким образом, экспертиза позволила ответить на все поставленные вопросы по этому спору.
Если вам нужна строительная экспертиза после залива в Санкт-Петербурге, вы можете обратиться ко мне. Я проведу обследование, определю, есть ли скрытые повреждения, подготовлю заключение и при необходимости рассчитаю стоимость восстановительных работ. Такое заключение можно использовать в переговорах с застройщиком, управляющей организацией, страховой компанией или в суде.
Нужна экспертиза “под ключ”, как в образце?
Проведу строительно-техническую экспертизу: выявлю дефекты, причины, объёмы и качество работ, при необходимости рассчитаю стоимость устранения.
01. Это реальное заключение или шаблон?
Это образец реального формата заключения: структура, логика исследования, фотофиксация, выводы и обоснование. Персональные данные и часть исходных сведений могут быть скрыты.
02. Можно ли сделать заключение “точно как здесь”, но по моему объекту?
Да. Итоговый документ будет в аналогичной структуре: описание объекта, фиксация дефектов, анализ причин, ссылки на нормативы, выводы и приложения с фото.
03. Подойдёт ли заключение для суда?
Если цель судебная, это учитывается заранее: формулировки, обоснование, приложения, перечень исходных данных. При необходимости готовлю документ в формате судебной строительно-технической экспертизы.
04. Какие документы нужны для начала работы?
Обычно достаточно того, что есть: договор/смета/акты, переписка, проект/планы (если есть), фото/видео. Если чего-то не хватает, подскажу, что желательно добавить под вашу задачу.
05. Вы выезжаете на объект или можно дистанционно?
По большинству задач нужен выезд (осмотр и фотофиксация). Дистанционный разбор возможен как консультация или предварительная оценка материалов.
06. Сколько времени занимает подготовка заключения?
Зависит от объёма объекта и материалов. Сроки обозначаю после первичного изучения задачи и согласования объёма работ.
07. Можно ли посчитать стоимость устранения дефектов/ущерба?
Да, при необходимости выполняю расчёт стоимости восстановительного ремонта или устранения выявленных недостатков.
08. Делаете ли вы экспертизу объёмов и стоимости выполненных работ?
Да. Могу проверить фактические объёмы, качество, соответствие смете и определить стоимость выполненных работ/расхождения.
09. Что именно фиксируется на осмотре?
Визуальные дефекты, узлы и примыкания, следы протечек/трещины/деформации, качество работ и материалов, фотофиксация. При необходимости применяются измерения и инструментальные методы в рамках задачи.
10. Вы работаете только по Санкт-Петербургу?
Базово Санкт-Петербург и область. По выездам в другие регионы зависит от задачи и загрузки.
11. Можете ли вы дать рецензию на чужое заключение эксперта?
Да. Если есть сомнения в выводах или методике, подготовлю рецензию с указанием ошибок/пробелов и корректных подходов.
12. Как быстро можно получить предварительное понимание, стоит ли делать экспертизу?
Можно начать с короткого описания ситуации и пары фото. Подскажу, какой вид экспертизы нужен и какой результат реально получить.
Похожие образцы заключений
Заключение экспертизы по строительству дома (коттедж) по ГОСТ и СНиП
Частные дома и коттеджи
Заключение строительно-технической экспертизы каркасного дома
Частные дома и коттеджи
Заключение экспертизы по домокомплекту с критическими дефектами и незавершенными работами
Частные дома и коттеджи
Рецензия на заключение специалиста по травмобезопасному покрытию площадок
Рецензии на экспертизы
Заключение экспертизы машино-места в подземном паркинге
Квартиры и МКД
Заключение строительной экспертизы по ремонту квартиры
Квартиры и МКД
Заключение экспертизы пиломатериалов по делу о некачественной поставке
Строительные материалы
Заключение экспертизы по дефектам покрытия из резиновой крошки
Дороги и благоустройство
Заключение экспертизы качества строительства дома из бревна
Частные дома и коттеджи
Заключение экспертизы модульного здания из блок-контейнеров
Кровля и фасады
Заключение внешней экспертизы по 44-ФЗ по ремонту дороги на примере муниципального контракта
44-ФЗ / 223-ФЗ (контракты)
Заключение эксперта по качеству дороги из железобетонных плит
Дороги и благоустройство
Заключение экспертизы покрытия из резиновой крошки в парке с анализом причин повреждений
Дороги и благоустройство




































